Электрическое сопротивление

Главная сайтаНачало разделаОсновы электротехники → Электрическое сопротивление

Электрическое сопротивление обозначается буквой R.

Электрическое сопротивление это противодействие оказываемое материалом проводника движению электронов.

Единицей сопротивления является Ом.

Сопротивлением в 1 Ом обладает проводник к которому приложено напряжение в 1 вольт и по которому идет ток 1ампер.

1 килоом (кОм) = 1000 Ом = 103 Ом;

1 мегаом (мОм) = 1 000 000 Ом = 106 Ом;

1 мОм = 1000 кОм = 1 000 000 Ом = 106 Ом;

1 Ом = 0, 001 кОм = 10-3 кОм;

1 Ом = 0, 000001 мОм = 10-6 мОм.

Сущность электрического сопротивления заключается в том, что носители электрических зарядов при направленном перемещении в проводниках под действием электрического поля сталкиваются с частицами вещества, находящимися в состоянии хаотического теплового движения. В результате этого кинетическая энергия носителей уменьшается, уменьшается скорость их направленного упорядоченного движения. Так, в проводниках первого рода свободные электроны непрерывно сталкиваются с положительными ионами кристаллической решетки, совершающими тепловое колебательное движение.

Как следует из физической сущности, величина электрического сопротивления зависит от материала проводника, т. е. от характера строения и количества свободных зарядов в единице объема.

Так, например, в металлах величина сопротивления определяется характером строения кристаллической решетки. При внесении в металл примесей форма кристаллической решетки искажается, что приводит к увеличению сопротивления.

Металлы по сравнению с другими материалами обладают меньшим электрическим сопротивлением, однако сопротивление различных металлов также неодинаково, Медь и серебро, например, оказывают очень небольшое сопротивление прохождению электрического тока, Железо, вольфрам и другие металлы проводят электрический ток значительно хуже.

Величина сопротивления проводника зависит не только от материала, из которого он изготовлен, но и от его геометрических размеров, формы и температуры.

Электрическое сопротивление

Сопротивление проводника прямо пропорционально его длине и о обратно пропорционально площади его поперечного сечения и зависит от материала проводника.

R-сопротивление, Ом;

S- площадь поперечного сечения, мм2;

L- длина проводника, м;

ρ- удельное сопротивление проводника. Это сопротивление проводника длиной 1 метр с площадью поперечного сечения 1 мм2 при определенной температуре.

Обычно данные ρ, даются для температуры 200 С.

Серебро- 0, 016

Медь- 0, 018

Золото- 0, 023

Алюминий- 0, 027

Вольфрам- 0, 0548

Никель- 0, 0723

Железо- 0, 092

Латунь- 0, 077

Олово- 0, 14

Сталь- 0, 14

Свинец- 0, 23

Манганин- 0, 43

Константан- 0, 49

Нихром- 1, 05

Например ρ серебра 0.016 Ом*мм2/м.

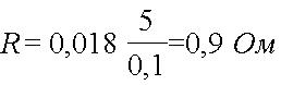
Задача:

Определить сопротивление медного провода длиной 5 метров с площадью поперечного сечения 0.1 мм2.

Решение:

Электрическое сопротивление

Для определения величины сопротивления проводника при любой температуре служит формула

Электрическое сопротивление

R1- величина сопротивления при какой-то определенной температуре t

R0- величина сопротивления при начальной температуре. Это сопротивление рассчитывается по формуле R=ρl/S.

α- температурный коэффициент сопротивления. Он показывает на сколько изменяется сопротивление проводника при изменении t на 10 С.

Серебро- 0.004

Медь- 0, 0044

Алюминий- 0, 0042

Вольфрам- 0, 0046

Железо- 0, 0024

Латунь- 0, 002

Олово- 0, 004

Сталь- 0, 0062

Свинец- 0, 0041

Манганин- 0, 00045

Константан- 0, 00003

Нихром- 0, 00011

t-t0 - величина изменения температуры.

Задача:

Сопротивление медного провода при температуре 200С 5 Ом. Определить его сопротивление при t=300 C.

Решение:


Электрическое сопротивление




counter  ||  Хостинг Web1.0