Электрические заряды

Главная сайтаНачало разделаОсновы электротехники → Электрические заряды

Атомы элементов и молекулы веществ представляют собой

электрически нейтральные системы, так как положительные и отрицательные заряды в них содержатся в равных количествах и расположены так, что они взаимно уравновешиваются. Если же это равновесие нарушается, то тело приобретает электрический заряд. Например, если натирать два предмета, то электроны с одного предмета переходят на другой. Оба предмета приобретают одинаковые по величине, но разноимённые заряды. Предмет с которого ушла часть электронов приобретает положительный заряд. Предмет на который перешла эта часть электронов, приобретает заряд отрицательный.Одноименные заряды отталкиваются, разноимённые заряды притягиваются

Электрические заряды

Величина заряда тела равна разности его суммарных положительного и отрицательного зарядов q=q -- q+

Единицей величины заряда является кулон (k). Один кулон равен заряду 6, 29*1028 электронов.

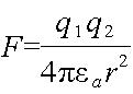
Сила взаимодействия между точечными электрическими зарядами определяется по Закону Кулона:сила взаимодействия между двумя точечными зарядами прямо пропорциональна произведению величин этих зарядов и обратно пропорциональна квадрату расстояния между ними. Сила взаимодействия между электрическими зарядами зависит также от среды, в которой они взаимодействуют. Математическое выражение закона Кулона:

Электрические заряды

q1 и q2 взаимодействующие заряды

r расстояние между центрами зарядов

F сила взаимодействия между зарядами

ε a абсолютная диэлектрическая проницаемость

В системе СИ абсолютная диэлектрическая проницаемость определяется как произведение двух величин

Электрические заряды

где ε 0 электрическая постоянная

Электрические заряды

Диэлектрическая проницаемость данной среды (ε) величина безразмерная (величина, показывающая во сколько раз сила взаимодействия между электрическими зарядами в данной среде меньше, чем в вакууме).

Диэлектрическая проницаемость различных веществ:

Вакуум 1, 0
Воздух 1, 00059
Бумага 3, 0-3, 5
Каучук 2-3
Парафин 2, 1-2, 2
Гетинакс 4-5
Слюда 4-7, 5
Дерево 4, 5-5
Фарфор 6-6, 5
Стекло 5, 5-10
Вода 81
Керосин 6-6, 5




counter  ||  Хостинг Web1.0